*New * Due to popular demand, we are adding a fourth weekend! All venues are priced for 4 weekends except for Candy Cane Lane, which is available for one to four weekend(s). Commitment to all 4 weekends will be necessary for acceptance in all other venue locations. Apply now for a season filled with joy, shopping, and a festive spirit that celebrates the essence of the holidays.
See the VENDOR APPLICATION GUIDEBOOK before submitting an application. Selection Criteria below for more information.
FEATURES:
- We are looking for new and innovative vendors who produce their own products.
- We will be elevating and expanding the Market this year with many new attractions and decor.
We are growing our outdoor Plaza Shopping and looking for unique and international items to complement our current concession offerings. Please complete an application and select “Concession Vendor” if your product includes:
- Concession unit that is designed to accommodate high-capacity orders with a fast service time.
- We are looking for vendors that can create unique “International Christmas Market” inspired items on site i.e.: Stroop waffles, crepes, fondue, etc. These vendors can rent our ‘Garden Haus’ Concession units or rent an outdoor footprint and bring in own structure/vehicle.
- The concession unit is self-contained with all equipment located within the concession space and not visible to the public.
- All vendors must be self-operational and ensure they are compliant with Alberta Health Services regulations. AHS representative(s) will be on site for all events.
- If you’re serving beverages, all products must be sourced from the exclusive supplier, Pepsi, and sold at the same price point as our Concession stands (price list to be provided).
- The vendor must understand that the operation will be outdoors. The vendor is responsible for providing the necessary sink and AHS-required items to operate under cold weather conditions.
- The use of an auxiliary vendor space immediately next to the concession unit may be acceptable, provided it is of finished quality and complements the design of our European market set-up.
NEW Selection Criteria for the Christmas Market Sustainability- We are striving for a better today and a better future. Our goal is to be certified as a zero-waste facility; this will extend to our vendors. Future requirements will include – compostable and recyclable materials for food service. See VENDOR APPLICATION GUIDEBOOK for a complete list of selection criteria and booth acceptance guidelines.
EVENT DATES & TIMES
Dates
- Friday, November 13 to Sunday, November 15, 2026
- Friday, November 20 to Sunday, November 22, 2026
- Friday, November 27 to Sunday, November 29, 2026
- Friday, December 4 to Sunday, December 6, 2026
Hours
- 11:00 am – 8:00 pm (Fridays)
- 10:00 am – 7:00 pm (Saturdays)
- 10:00 am – 6:00 pm (Sundays)
*Times are subject to change.
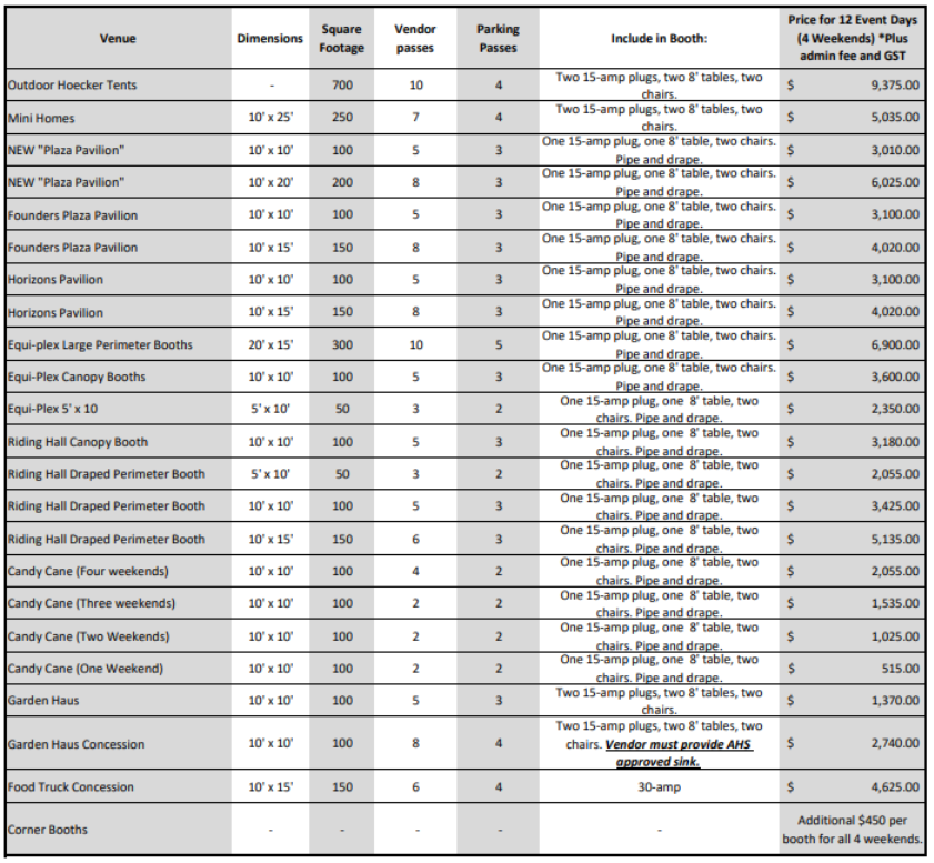
PLEASE NOTE:
- All Corner booths are an additional $450 for all four weekends.
- All pricing below is for all four weekends of the market unless stated otherwise.
BOOTH PRICING AND DETAILS
Spruce Meadows supports local entrepreneurs – our diverse events offer our exhibitors a platform to reach a diverse audience. We select vendors based on a juried application process.
Ensure you read the Vendor Application Guidebook for Selection Criteria, Exhibit FAQ and Application Best Practices.

*All booth prices are subject to 5% G.S.T. and Admin Fee. Please be aware that venue, exhibit, and booth layouts may change without notice, and booth preference cannot be guaranteed. Spruce Meadows Management reserves the right to change, without notice; the floor layout as registrations, building code, and aesthetics dictate.